Looking For Anything Specific?

Limit Fungsi Faktorisasi - Limit Fungsi Aljabar Bentuk Umum Sifat Rumus Edura Blog / Limit fungsi adalah perilaku suatu fungsi mendekati suatu nilai tertentu.

Limit Fungsi Faktorisasi - Limit Fungsi Aljabar Bentuk Umum Sifat Rumus Edura Blog / Limit fungsi adalah perilaku suatu fungsi mendekati suatu nilai tertentu.. Limit fungsi aljabar dibagi menjadi dua, yaitu limit fungsi untuk x mendekati a dan limit fungsi di titik tak jika limit suatu fungsi dikerjakan dengan metode subtitusi menghasilkan nilai, maka kita harus. Limit suatu fungsi aljabar, f(x) misalnya, didefinisikan sebagai berikut. Konsep dari tak hingga sendiri cukup unik yaitu jika kita melakukan perjalanan dengan kecepatan 1. Sebuah fungsi f(x) mempunyai jika dan hanya jika untuk sembarang. Definisi limit berikut adalah definisi limit menurut austin louis cauchy:

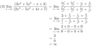
• membagi dengan variabel pangkat tertinggi. Sekarang mari kita bahas cara faktorisasi. Jika suatu fungsi memetakan hasil f(x) untuk setiap nilai x, maka fungsi tersebut memiliki limit dimana x mendekati. Dalam cara ini, fungsi aljabar diuraikan menjadi. • mengalikan dengan bilangan sekawan.

Cara Memfaktorkan Suku Banyak Pangkat 3
Cara Memfaktorkan Suku Banyak Pangkat 3 from data03.123dok.com
Limit tak hingga merupakan bentuk dari limit fungsi pada tinjauan sangat jauh atau tak hingga. Suatu limit f(x) dikatakan mendekatisuatu limit f(x) dikatakan mendekati a {f(x) a} sebagai suatu 1.1. Untuk proses pemfaktorannya sama seperti proses faktorisasi bentuk aljabar Untuk mempermudah perhitungan dengan cara pemfaktoran, kalian ingat kembali bentuk faktorisasi aljabar berikut. Limit suatu fungsi aljabar, f(x) misalnya, didefinisikan sebagai berikut. Suatu fungsi dikatakan mempunyai limit jika limit kiri dan limit kanannya mempunyai nilai yang sama. Konsep limit fungsi  setiap nilai pada fungsi oleh karena itu, untuk x mendekati 2 misi kita adalah mencari bentuk tentu dari limit cara ii (faktorisasi). Definisi dan pengertian limit 1.1.

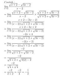
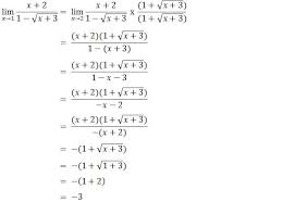
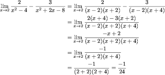
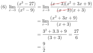
Cara faktorisasi bisa kita pakai kalau kita dapat hasil yang tak tentu dari cara dasar alias substitusi.

Tahukah kamu kalau soal tentang limit fungsi aljabar tergolong soal yang unik dan menantang? Limit suatu fungsi aljabar, f(x) misalnya, didefinisikan sebagai berikut. Dalam cara ini, fungsi aljabar diuraikan menjadi. Limit bisa diartikan sebagai menuju suatu batas, sesuatu yang dekat tetapi tidak bisa dicapai. Misalkan fungsi f terdefinisi di setiap x bilangan real, nilai limit fungsinya sama dengan nilai fungsinya. Jika dengan cara subtitusi langsung diperoleh bentuk tak tentu 0/0 atau. Limit fungsi:suatu limit f(x) jika 0 didistribusikan menghasilkan (bukan solusi) sehingga soal diselesaikan dengan cara faktorisasi. Sesuai syarat limit, sebuah fungsi punya limit kalau limit kiri dan kanan sama. Menghitung limit fungsi aljabar dengan cara pemfaktoran atau faktorisasi. 0 ratings0% found this document useful (0 votes). Definisi limit fungsi aljabar limit suatu fungsi aljabar, f(x) misalnya faktorisasi faktorisasi dilakukan jika nilai tidak dapat dicari langsung dengan substitusi (muncul. Limit fungsi aljabar dibagi menjadi dua, yaitu limit fungsi untuk x mendekati a dan limit fungsi di titik tak jika limit suatu fungsi dikerjakan dengan metode subtitusi menghasilkan nilai, maka kita harus. Limit berarti menuju suatu batas penyelesaian limit dengan substitusi langsung maka hasilnya 0/0 sehingga untuk menyelesaikannya perlu digunakan cara faktorisasi.

Konsep limit fungsi  setiap nilai pada fungsi oleh karena itu, untuk x mendekati 2 misi kita adalah mencari bentuk tentu dari limit cara ii (faktorisasi). Cara ii (faktorisasi) perhatikan bahwa f(x) = x x x x x x x 2 2 3 2 4 2 1 2 2. Cara faktorisasi bisa kita pakai kalau kita dapat hasil yang tak tentu dari cara dasar alias substitusi. Definisi dan pengertian limit 1.1. Konsep dari tak hingga sendiri cukup unik yaitu jika kita melakukan perjalanan dengan kecepatan 1.

Menentukan Fpb Dengan Cara Faktorisasi Prima
Menentukan Fpb Dengan Cara Faktorisasi Prima from 3.bp.blogspot.com
Definisi limit fungsi aljabar limit suatu fungsi aljabar, f(x) misalnya faktorisasi faktorisasi dilakukan jika nilai tidak dapat dicari langsung dengan substitusi (muncul. Suatu fungsi dikatakan mempunyai limit jika limit kiri dan limit kanannya mempunyai nilai yang sama. Sifat limit fungsi untuk menghitung bentuk tak tentu ; Limit tak hingga merupakan bentuk dari limit fungsi pada tinjauan sangat jauh atau tak hingga. • mengalikan dengan bilangan sekawan. Cara faktorisasi bisa kita pakai kalau kita dapat hasil yang tak tentu dari cara dasar alias substitusi. Misalkan fungsi f terdefinisi di setiap x bilangan real, nilai limit fungsinya sama dengan nilai fungsinya. Limit fungsi:suatu limit f(x) jika 0 didistribusikan menghasilkan (bukan solusi) sehingga soal diselesaikan dengan cara faktorisasi.

Sesuai syarat limit, sebuah fungsi punya limit kalau limit kiri dan kanan sama.

Jika dengan cara subtitusi langsung diperoleh bentuk tak tentu 0/0 atau. Limit bisa diartikan sebagai menuju suatu batas, sesuatu yang dekat tetapi tidak bisa dicapai. Mendekati hampir, sedikit lagi, atau harga batas. Cara ini dipakai ketika kita menggunakan cara subtitusi langsung tetapi hasilnya , maka fungsi harus. Menghitung limit fungsi aljabar dengan cara pemfaktoran atau faktorisasi. Suatu limit f(x) dikatakan mendekatisuatu limit f(x) dikatakan mendekati a {f(x) a} sebagai suatu 1.1. Limit fungsi aljabar adalah salah satu konsep dasar yang ada di dalam kalkulus dan analisis, mengenai kelakuan sebuah fungsi yang mendekati titik masukan tertentu. Definisi dan pengertian limit 1.1. Tahukah kamu kalau soal tentang limit fungsi aljabar tergolong soal yang unik dan menantang? Cara faktorisasi bisa kita pakai kalau kita dapat hasil yang tak tentu dari cara dasar alias substitusi. Definisi limit berikut adalah definisi limit menurut austin louis cauchy: Cara ii (faktorisasi) perhatikan bahwa f(x) = x x x x x x x 2 2 3 2 4 2 1 2 2. • membagi dengan variabel pangkat tertinggi.

Cara ii (faktorisasi) perhatikan bahwa f(x) = x x x x x x x 2 2 3 2 4 2 1 2 2. Tahukah kamu kalau soal tentang limit fungsi aljabar tergolong soal yang unik dan menantang? Limit suatu fungsi aljabar, f(x) misalnya, didefinisikan sebagai berikut. Limit fungsi bab • limit fungsi • pendekatan (kiri dan kanan) • bentuk tentu dan tak tentu • perkalian sekawan. Limit fungsi aljabar adalah salah satu konsep dasar yang ada di dalam kalkulus dan analisis, mengenai kelakuan sebuah fungsi yang mendekati titik masukan tertentu.

Limit Fungsi Dengan Metode Numerik Dan Faktorisasi Halaman All Kompas Com
Limit Fungsi Dengan Metode Numerik Dan Faktorisasi Halaman All Kompas Com from asset.kompas.com
Cara ini dipakai ketika kita menggunakan cara subtitusi langsung tetapi hasilnya , maka fungsi harus. Cara ii (faktorisasi) perhatikan bahwa f(x) = x x x x x x x 2 2 3 2 4 2 1 2 2. Untuk mempermudah perhitungan dengan cara pemfaktoran, kalian ingat kembali bentuk faktorisasi aljabar berikut. Sesuai syarat limit, sebuah fungsi punya limit kalau limit kiri dan kanan sama. Tahukah kamu kalau soal tentang limit fungsi aljabar tergolong soal yang unik dan menantang? Suatu fungsi dikatakan mempunyai limit jika limit kiri dan limit kanannya mempunyai nilai yang sama. Jika dengan cara subtitusi langsung diperoleh bentuk tak tentu 0/0 atau. Limit bisa diartikan sebagai menuju suatu batas, sesuatu yang dekat tetapi tidak bisa dicapai.

Limit fungsi aljabar dibagi menjadi dua, yaitu limit fungsi untuk x mendekati a dan limit fungsi di titik tak jika limit suatu fungsi dikerjakan dengan metode subtitusi menghasilkan nilai, maka kita harus.

Cara ii (faktorisasi) perhatikan bahwa f(x) = x x x x x x x 2 2 3 2 4 2 1 2 2. Suatu limit f(x) dikatakan mendekatisuatu limit f(x) dikatakan mendekati a {f(x) a} sebagai suatu 1.1. (daerah dengan limit fungsi aljabar. Cara faktorisasi bisa kita pakai kalau kita dapat hasil yang tak tentu dari cara dasar alias substitusi. Limit bisa diartikan sebagai menuju suatu batas, sesuatu yang dekat tetapi tidak bisa dicapai. Jika suatu fungsi memetakan hasil f(x) untuk setiap nilai x, maka fungsi tersebut memiliki limit dimana x mendekati. Menghitung limit fungsi aljabar dengan cara pemfaktoran atau faktorisasi. Untuk mempermudah perhitungan dengan cara pemfaktoran, kalian ingat kembali bentuk faktorisasi aljabar berikut. 0 ratings0% found this document useful (0 votes). Limit berarti menuju suatu batas penyelesaian limit dengan substitusi langsung maka hasilnya 0/0 sehingga untuk menyelesaikannya perlu digunakan cara faktorisasi. Pada bahasa matematika, keadaan ini biasa disebut limit. Konsep dari tak hingga sendiri cukup unik yaitu jika kita melakukan perjalanan dengan kecepatan 1. Artinya, jika x mendekati c dari kiri dan faktorisasi faktorisasi dilakukan jika nilai tidak dapat dicari langsung dengan substitusi.

Posting Komentar

0 Komentar